
正压标准漏孔与不同气体漏率换算
1 正压检漏的分类
检漏方法分为两大类:被检件承受负(外)压,即抽成真空的叫真空检漏;被检件承受正(内)压的叫正压检漏,也有人叫充压检漏。
正压检漏一般有三种方法(参见参考资料4):
1)吸枪法:用吸枪直接在漏孔出口处获得示漏气体,与正压校准漏孔作比对定量。这种方法适于漏孔处于吸枪可及位置的产品作正压检漏。
2)气罩积分法:把被检件或被检部位置于气罩内,罩内为大气压。示漏气体漏人罩内,随时间积分,再用吸枪取样,输入检漏仪检测,与正压校准漏孔比对定量。
3)加压真空法:产品充正压后,置于真空室内,或将漏气局部置于真空罩内,检漏仪与真空室(罩)相联,与真空校准漏孔作比对定量。
2 正压校准(标准)漏孔
校准漏孔是检漏时用来作漏率定量时的比对标准。其功用是向检漏系统提供一个已知的微流量,真空检漏的标准漏孔是在 P1≈105Pa,P2<103Pa,T=23±7℃条件下测得干燥空气的漏率值作漏孔的标定值。真空检漏时它的使用条件也是向真空中泄漏,所以可以作为比对标准。
正压检漏中的第三种方法(加压真空法)中产品上的漏孔也是向真空中泄漏,真空校准漏孔装在检漏系统中的真空室上,其人口压力P1虽然不同于产品所充的压力,但只要它的入口压力仍保持标定时的Pl=105Pa,则所提供的漏率仍是标定时的漏率值,所以加压真空法的正压检漏仍应用真空检漏的标准漏孔。
正压检漏中的第一种(吸枪法)和第二种(气罩积分法)方法中,产品上的漏孔都是向大气泄漏,真空校准漏孔装在这里如果其入口压力P1仍然保持P1=105Pa,出口压力与入口压力相等,漏率就等于零。若P1>105Pa,有了漏率,但不是该漏孔的标定值了。因此,茄子视频成人在线观看认为第一、二种方法的正压检漏不能用真空校准漏孔作比对标准。
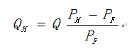
有人提出,一个已知真空校准值为Q0的真空校准漏孔,只要按下式计算,就可以得到该漏孔的正压校准漏率值QH,并作为吸枪法正压检漏的比对标准漏率。

式中: Q0 — 校准漏孔的真空标定值
QH — 校准漏孔的正压漏率值
PH — 校准漏孔入口压力 P1=PH
PF — 校准漏孔出口压力 P2=PF
这种用理论计算的方法代替漏孔的实际校准误差很大,据资料记载,仅这种替代方法本身导致的误差就可达43%。所以,还是应该研究正压漏孔的校准技术。目前,兰州510所和清华大学电子工程系分别研究的正压漏孔校准装置都即将取得成功,不久即可投入使用。八十年代初,中国运载火箭技术研究院创造的简易正压漏孔校准法—排水集气法,解决了当时检漏技术发展的急需。这个方法如能进一步改进,其校准速度与灵敏度还可以大幅度提高,用于生产单位仍有广泛的市场。
关于正压漏孔,还要说明几点:
1)不是所有的正压检漏方法都应该使用正压校准漏孔,只是吸枪法和气罩积分法应该用正压校准漏孔,而加压真空法则应该使用真空校准漏孔。另外,气罩积分法还可以用标准气样代替正压校准漏孔,将标准气样注入气罩形成示漏气体的一定浓度,代替由正压标准漏孔用时间积分获得的相应浓度。
2)正压校准漏孔的名称和其特征并不贴切,正压校准漏孔的特征是向大气中泄漏,区别于真空校准漏孔向真空泄漏。
3)不要把正压校准漏孔理解为入口压力很高的高压漏孔,它的功能是要提供一个某种气体的已知微流量。出口压力一定是大气压,入口压力一定大于大气压,但是只要大得足以形成要求的微流量就成了,不一定是高压,而且入口压力值与产品的检漏压力值也没有直接关系。以为正压校准漏孔的入口压力必定等于产品检漏时的检漏压力是不对的。
3 不同气体的漏率换算
大容积产品的正压氦质谱检漏需要耗费大量的氦气,人们很自然地想到在允许降低检漏灵敏度的范围内,采用了氦—空气的混合气体作示漏气体。在大贮箱的检漏中,经常用含氦量5~10%的混合气体作示漏气体,以降低检漏的成本。
混合气体漏率和氦漏率的换算也就是不同气体的漏率换算,一般有两种办法:
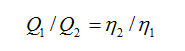
1)理论计算法:对于同一漏孔,压力温度都相同的情况下,不同气体的漏率是不同的.粘滞流漏孔的特征是漏率与气体粘滞系数成反比:
分子流漏孔的不同气体漏率比则应等于其分子量平方根的反比:
2)工程上使用的实际置换法
上述的理论计算方法要求首先要判定漏孔内的流动状态,而据国外资料报导(参见参考资料5),10-3~10-9Pa•m3/s的漏孔都具有粘滞一分子流(过渡流)特性,在这个漏率范围内不同气体漏率的理论换算几乎无法进行。
八十年代初,运载火箭技术研究院21l厂七车间创造了一种实际置换的办法,使茄子视频成人在线观看完全不需要进行不同气体漏率的换算。
这种方法的理论依据是任意漏孔的漏率值是漏孔尺寸、入口压力P1、出口压力P2和气体种类的单值函数,任意两个参数不同的漏孔充某种气体时,如果漏率相等,同时都换成另一种气体时,它们的漏率仍相等。
例如,某贮箱充0.3MPa氦气时,单孔漏率应小于1×10-5Pa•m3/s,
现用氦—空气混合气体检漏,怎样确定混合气体的最大允许漏率?
具体做法是先向正压漏孔内充氦气,调节其压力为P1,使其QHe等于或稍小于1×10-5Pa•m3/s,再放掉正压校准漏孔的氦气,充以选定的混合气体至压力也等于P1,这时就以此不知大小的混合气体漏率为比对标准,在贮箱内充混合气体至0.3MPa检漏,若贮箱某漏孔的混合气体漏率小于或等于正压校准漏孔的混合气体漏率,则可以断定,贮箱在充0.3MPa氦气时,该漏孔的氦漏率值一定小于或等于1×10-5Pa•m3/s。
这种置换法避免了用理论计算带来的误差。